مولد المحرك Ricardo 12kw-300kw
مجموعة المولدات Ricardo يتكون من محرك الديزل سلسلة ريكاردو بالإضافة إلى FMW مولد AC بدون فرشات مع تحكم Deepsea أو ComAp أو Smartgen وحدات. نطاق القدرة: 12kw إلى 300kw كل من مولد الإطار المفتوح ومولد نوع القبة
مجموعة المولدات Ricardo يتكون من محرك الديزل سلسلة ريكاردو بالإضافة إلى FMW مولد AC بدون فرشات مع تحكم Deepsea أو ComAp أو Smartgen وحدات. نطاق القدرة: 12kw إلى 300kw كل من مولد الإطار المفتوح ومولد نوع القبة
انخفاض الضوضاء مولد تتراوح من 8kw إلى 150kw هي صغيرة الحجم مجموعة مولدات الديزل الصامتة .
انخفاض الضوضاء مولد تتراوح من 150kw إلى 500kw هي متوسطة الحجم مجموعة مولدات الديزل الصامتة.
مجموعة المولدات Cummins يتكون من محرك الديزل Cummins بالإضافة إلى Stamford مولد كهربائي ، مولد Leroy Somer أو مولد FMW بدون فرش مع Deepsea ، ComAp أو وحدات التحكم في مولد Smartgen. نطاق القدرة: 24kw إلى 1800kw كل من مولد الإطار المفتوح ومولد نوع القبة
مجموعة مولدات Lovol يتكون من محرك الديزل Lovol بالإضافة إلى مولد Stamford ، أو مولد Leroy Somer أو مولد FMW بدون فرش مع وحدات تحكم Deepsea أو ComAp أو Smartgen. نطاق السلطة: 24kw إلى 160kw كل من مولد الإطار المفتوح ومولد نوع القبة
(12KW-41kw) FMW المولد فرش من هذا الناتج تم تصميم النطاق بدقة وتصنيعه لمطابقة مولد ستامفورد AC الأصلي سلسلة PI144 بما في ذلك المواصفات الفنية ، كل قطع الغيار ، و تصميم المظهر.
مجموعة المولدات Cummins يتكون من محرك الديزل Cummins بالإضافة إلى Stamford مولد كهربائي ، مولد Leroy Somer أو مولد FMW بدون فرش مع Deepsea ، ComAp أو وحدات التحكم في مولد Smartgen.
نطاق القدرة: 24kw إلى 1800kw
كل من مولد الإطار المفتوح ومولد نوع القبة
رقم الصنف.:
MCCدفع:
TT/LCمصدر المنتج:
Chinaميناء الشحن:
Fuzhouالمهلة:
21 Weekdays
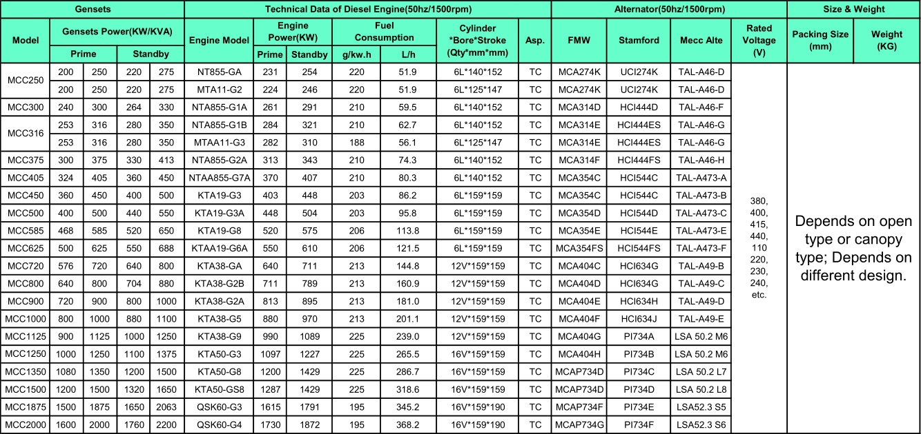
مولد الكمون هو تقريبا الأكثر شعبية اعدادات المولد تستخدم على نطاق واسع في جميع أنواع صناعة محطة توليد الكهرباء في جميع أنحاء العالم. يمكن لشبكة الخدمة العالمية لمحرك الديزل Cummins تزويد العملاء بخدمة موثوقة ومضمونة. نطاق السلطة Cummins genset انه من 24KW يصل إلى 1800kw .
1. مواصفات مولد المحرك Cummins الرئيسية
دونغفنغ الكمون مولد

تشونغتشينغ الكمون مولد

2. Cummins Generator Se تي
3. ميزات المولد و نطاق العرض
|
أجزاء قياسية |
قطع اختيارية |
|
العلامة التجارية الجديدة ريكاردو ، Lijia ، وستيير محرك الديزل سلسلة |
Original Stamford، Leroy Somer and Mecc Alte مولد التيار البديل |
|
العلامة التجارية الجديدة المولد فرش MCA (فئة H ، IP23 ، AVR) |
نظام التحكم في مولد التحويل الآلي (A.T.S) |
|
إطار قاعدة فولاذي ثقيل مع خزان وقود 8 ساعات |
موازاة نظام التحكم في المولد |
|
2MM-4MM الصلب مظلة صوتية لمولد صامت |
خزان الوقود المخصص أكبر من 8 ساعات جري |
|
مشعاع أمان للحماية مع شبكة الحماية |
واجب ثقيل 50 ℃ النحاس المبرد |
|
واجب ثقيل المطاط المضادة للاهتزاز المخمد |
Deepsea7320 ، أو Smartgen6110 أو ComAp AMF25 تحكم المولد |
|
كاتم الصوت نوع الصناعية الثقيلة مع الفم مرنة |
سخان الماء / سخان زيت اللولب للطقس البارد للغاية |
|
بطارية عالية الأداء غير قابلة للاحتفاظ بمعايير الولاية |
الإلكترونيات مثل ABB و Schneider و Siemens |
|
Deepsea6020 ، Smartgen420 أو ComAp MRS11 مولد تحكم |
Cumtomized سوبر مظلة صامت مع الاسفنج عالي الكثافة |
|
انخفاض ضغط الزيت والحرارة الزائدة والحمل الزائد والحماية الزائدة |
جزء خاص كمفاتيح الفولاذ المقاوم للصدأ ، مضخة استنزاف النفط ، مرشح الغبار إلخ |
|
الإلكترونيات القياسية المعيارية للدولة مثل الكبلات ، قواطع الدوائر ، التتابع ، المصباح ، الصمامات ، التوقف جهاز. |
المحرك الإضافي وقطع الغيار المولد كما مرشح، وحشية، فوهة، AVR، المعدل |
|
مجموعة أدوات مع أدلة التشغيل للمولد ، المحرك ، والمولد |
مجموعة أدوات فاخرة مع مجموعة متنوعة من الأدوات للصيانة |
4. معيار وشهادة

5. ميزة لدينا مولدات الديزل

① مواد عالية الجودة وقطع الغيار
● من المسامير ، المحامل ، إسفنج الضوضاء ، الأسلاك ، جهاز امتصاص الاهتزاز ، التتابع ، AVR ، الصمام الثنائي ، المقاييس ، الصنوبر ، الأسلاك النحاسية ، الصفائح الفولاذية ، الأمتار ، وحدات التحكم ، البطاريات ، AMF ، المنشطات الأمفيتامينية وغيرها.
② فريق بحث وتطوير ذو خبرة عالية
● مع فريق البحث والتطوير المهنية للغاية ، لا يمكن لمصنع الطاقة FMW القياسي فقط مولد نوعية موثوق بها ولكن أيضا يمكن الطاقة FMW تصميم أنواع مختلفة من المولدات مثل مولد صامت عظمى ، محطة الطاقة حاوية ، مولد ذكي وفقا لمتطلبات فريدة من نوعها العميل.
③ أداء موثوق ومعيار
تنظيم الجهد:
● نطاق إعداد الجهد الحر≥≥ (95-105)٪ Un
● معدل تنظيم الجهد المطرد للولاية ≤ 1.0 ﹪
● Tr معدل تنظيم جهد الدولة an≤ient-20 20 ﹪ / - 15٪
● وقت استرداد الجهد .00.0S
● نسبة تذبذب الجهد ≤ 0.5 ﹪
● نسبة الجهد الباردة / الساخنة الدولة ≤2 ﹪
تردد / سرعة تموج:
● تغيير الحمل من 0-100 ٪ ، نسبة التدني التردد / السرعة في حدود 5 ٪.
● تحميل من 25-100 ٪ ، أي ثابت الحمل التردد والتمدد / السرعة في غضون 0.25 ٪
عامل تأثير الاتصالات:
● TIF (MA MG1-22) أفضل من 50
● THF (BS EN60034) أفضل من 2٪
معيار:
● ISO8528 ، GB / T2820
● EN12601: 2001 ، EN60034-22: 1997 ، EN60204-1: 2006
● ISO9001: 2008 نظام ضبط الجودة
● مقاومة العزل تم اختبارها وفقًا لـ GB5226.1-2002-19.3
● الصمود-الجهد اختبارها وفقا GB7 55-2000-8.1 (مع 1500 فولت بـ 60 ثانية)
● جميع قطع الغيار الكهربائية اختبارها وفقا مع GB5226.1-2002-19.6
● اختبار الأمن الميكانيكية وفقا مع GB / T820.8-2002-6.3
● اختبار مقاومة الحريق وفقًا لـ GB / T2820.8-20 02 حتي 6،4 / 6،5
● يتم فحص جميع مجموعات المولدات بدقة من قبل 25 ٪ ، 50 ٪ ، 75 ٪ ، 100 ٪ و 110 ٪.
خدمة الإنترنت
0086-593-6589153
[email protected]
genpower2003
0086-13950598181(Cell&WhatsApp)